全国咨询热线0591-28082552180-5018-0580

1

返回>>

超声波换能器的几个基本参数

发布者:大禹电子 发布日期:2021-07-29  浏览量:5052

  一、超声波换能器的几个基本参数


  1、等效电路和导纳圆


  2、谐振频率


  3、阻抗、电容量和Q值


  4、发射响应和接收响应


  5、发射角度


  二、换能器的等效电路和导纳圆


QQ截图20210729172640.jpg


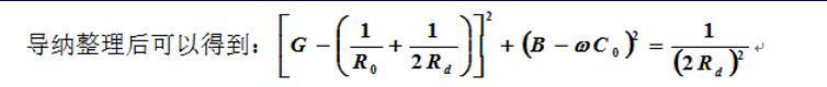
  三、换能器的阻抗和导纳表达式如下


QQ截图20210729172828.jpg


QQ截图20210729172844.jpg

  

上述公式表明:换能器的导纳矢量端是一个圆,此圆称为导圆。如下图所示:

QQ截图20210729172903.jpg


  压电陶瓷片导纳圆图


  • 上一条

    换能器的六个谐振频率

  • 下一条

    大禹电子:压电陶瓷换能器​的工作原理讲解

  • 新闻中心
    联系我们
    全国咨询热线:0591-28082552

    QQ:2187169532

    手机:18050180580

    邮箱:2187169532@qq.com

    地址:福建省福州市晋安区福兴经济开发区红光路11号E座

    TOP

    闽公网安备 35011102350743号

    1